Ideen zu einer neuen Begriffsschrift
Teil I: Motivation
Von Gerald Bühler, Lohr/Erlangen, den 17.
4. 2001; Copyright © 2001 Gerald Bühler;
Veröffentlichung
unter http://www.geraldbuehler.de/logik/begriffsschrift/.
zu Teil II
zur übergeordneteten Seite (von hier aus ist der neueste Stand der Entwicklung erreichbar)
Inhalt:
1. Zur Struktur der Syllogismen
Das wichtigste Grundprinzip der klassischen auf Aristoteles zurückgehenden Logik, der Syllogistik,wird als dictum de omni et nullo bezeichnet. Es kann in etwa folgendermaßen formuliert werden (siehe /Tugendhat, Wolf 1983/, S. 76):
Was von allem einer Art positiv oder negativ gilt, das gilt auch positiv oder negativ von jedem Bestimmten, das unter diese Art fällt.
Die verschiedenen Formen der Syllogismen der 1. Figur demonstrieren dieses einfache und evidente Prinzip. Zum Beispiel:
Alle Menschen sind sterblich. (Obersatz)
Alle Griechen sind Menschen (Untersatz)
------------------------------------------------
Alle Griechen sind sterblich (Conclusio)
Man kann dies so interpretieren, daß in diesem Syllogismus des Modus Barbara das Subjekt des Untersatzes dem Subjekt des Obersatzes (dem sogenannten terminus medius) untergeordnet wird.

Da
im Obersatz nun die Menschen unter die sterblichen Wesen eingereiht
werden, trifft dies auch für die Griechen zu.

Die Syllogistik hatte verschiedene Schwächen. So war sie in ihrer aristotelischen Ausarbeitung eine reine Prädikatenlogik, d.h. Sie behandelte Schlüsse, die aufgrund der prädikativen Struktur der behandelten Sätze gültig sind.
Aussagenlogische Schlüsse, die eben nicht wegen der internen Subjekt-/Prädikatstruktur der beteiligten Sätze oder Teilsätze gültig sind, wie etwa
wenn es schneit, ist es kalt; es ist nicht kalt; also schneit es nicht
oder in heutiger formaler Notation:
((p ® q) Ù Øq) ® Øp
konnten nicht angemessen innerhalb der prädikatenlogischen Syllogistik behandelt werden. Gerade die Aussagenlogik hatte jedoch durch die Arbeiten von de Morgan und Boole erhebliche Fortschritte gemacht.
Aristoteles hatte die Syllogistik auch nur für Sätze mit einfacher Subjekt/Prädikat-Struktur formuliert. Sätze in denen das Verb eine mehrstellige Relation darstellt, wie etwa Peter gibt Martin das Buch das etwas formaler auch so notiert werden könnte Geben(Peter, Martin, das Buch) wurden nicht behandelt. Auch Schlüsse wie alle Kreise sind Figuren und Peter malt einen Kreis, also malt Peter eine Figur, fallen nicht unter die aristotelische Syllogistik (siehe /Tugendhat, Wolf 1983/, S. 81).
Weiter ist es umstritten, ob die aristotelische Interpretation genereller (universaler oder partikulärer) Sätze, also von Sätzen in denen dem Subjekt das Zahlwort "alle" oder "einige" vorausgeht, zutreffend ist (vgl. /Tugendhat, Wolf 1983/, S. 83 ff).
3. Die heutige formale Logik-Notation
Die oben beschriebenen Schwierigkeiten haben zu einem Paradigmenwechsel in der Logik um die Jahrhundertwende geführt, woran die Arbeiten Freges und deren Aufnahme durch Bertrand Russel maßgeblichen Anteil hatten.
Der Paradigmenwechsel zeigt sich vor allem
auch in unserer heutigen im Vergleich zur Syllogistik formaleren
logischen Notation. Aussagen werden heute mit aussagenlogischen
Operatoren verknüpft (Ù, Ú, ®,
Ø). Relationen werden durch Klammern dargestellt.
Schläft(Peter) bedeutet z.B. Peter schläft.
Universale und partikuläre Aussagen werden mit Hilfe von
Quantoren (dem All-Quantor und dem Es-Gibt-Quantor) und sogenannter
gebundener Variablen beschrieben. Der obige Syllogismus könnte
in folgender Weise notiert werden:
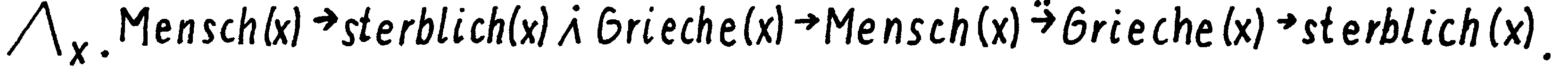
![]()
In
Worten: Für alle x gilt: wenn zutrifft:wenn x ein
Mensch ist, ist x sterblich und wenn x ein Grieche ist, dann ist x
ein Mensch, dann gilt: wenn x ein Grieche ist, dann ist x
sterblich.
Mit dem Paradigmenwechsel sind die logische Notation und die Logik selbst wesentlich leistungsfähiger geworden. Das zeigt sich vor allem an den Ergebnissen der logischen Forschung des zwanzigsten Jahrhunderts (z. B. Gödels Satz etc.). Die Beweisführungen der Logik haben eine Stufe erreicht, die mit dem Werkzeug der Syllogistik schwer denkbar gewesen wäre.
4. Motivation einer neuen Begriffsschrift
Allerdings ist die heutige Logik-Notation gegenüber der der alten Syllogistik auch komplexer geworden. Die verschiedenen quantoren- und aussagenlogischen Aussageformen scheinen nicht mehr unter einem Motto zu stehen, wie das bei der alten Syllogistik mit dem dictum de omni et nullo der Fall war - freilich nur für die Prädikatenlogik. Durch die Einführung von Quantoren und gebundenen Variablen einerseits und aussagenlogischen Operatoren andererseits gibt es zwei unterschiedliche Arten von Notationselementen, die es vorher so nicht gab.
Es stellt sich die Frage, ob nicht eine einfachere und schlankere Art der Notation möglich ist, die die Natur logischer Schlüsse klarer hervortreten läßt. Sehen wir uns einmal den folgenden logischen Schluß an:
Wenn es kalt ist, dann ist der Heizölverbrauch hoch. (Obersatz)
Wenn es schneit, dann ist es kalt. (Untersatz)
----------------------------------------------------------------------
Wenn es schneit, dann ist der Heizölverbrauch hoch. (Conclusio)
(Vgl. zu dieser Art von Schlüssen auch /Skorupski 1989/, S. 101. Dort ist z.B., wenn auch in einem anderen Zusammenhang, ein solcher Schluß aufgefürt. Ich beanspruche nicht die Ähnlichkeit gewisser aussagenlogischer Formen und prädikatenlogischer Formen als erster entdeckt zu haben.)
Die strukturelle Ähnlichkeit mit dem weiter oben angegebenen Syllogismus des Modus Barbara fällt sofort auf und sollte auch ernst genommen werden. Der Terminus medius (es ist kalt), wird dem Sachverhalt eines hohen Heizölverbrauches untergeordnet. Der Sachverhalt des Schneiens wurde im Untersatz dem Sachverhalt (Terminus medius) des Kalt-seins untergeordnet. Also wurde das Schneien unter den Sachverhalt des hohen Heizölverbrauches gebracht.
Der Schluß entspricht der folgenden Form:
m ® p
q ® m
--------
q ® p
Die sogenannte marteriale Implikation scheint also zwischen Sätzen eine ähnliche Verbindung herzustellen, wie sie die Prädikation oder anders ausgedrückt ein relationaler Bezug zwischen Begriffen herstellt.
In der zweiwertigen Logik ist es möglich, die neben dem Wenn-dann-Operator ® üblichen Operatoren Ù (und) und Ú (oder) auf die Negation und die materiale Implikation zurückzuführen.
Somit ist eine relationale Darstellung sämtlicher aussagenlogischer Verknüpfungen möglich:
q ® p kann als p(q),
q Ù p als Ø [Ø q(p)] und
q Ú p als q(Ø p)
dargestellt werden (die runden Klammern stehen für den relationalen Bezug der auch für die materiale Implikation steht, die eckigen Klammern regeln den Vorrang der Operatoren).
Es sollte also möglich sein, eine Notation und ein Kalkül mit einer einheitlichen Behandlung von Begriffen (Griechen, Mensch, sterblich) und Sätzen (oder Teilsätzen) zu entwickeln. Dies würde zu einer einfacheren logischen Theorie führen. Ein ähnlicher Ansatz wurde auch schon in /Bühler 1994/ verwendet. Hier wurde eine formale Sprache entwickelt, die auf der hiergenannten Grundidee aufbaut. Mit dieser Sprache konnten Sätze in ein Computerprogramm eingegeben werden. Das Programm war dann in der Lage Aussagen zu treffen, ob aufgrund der in einer Sitzung eingegebenen Sätze, andere Sätze mitbehauptet wurden.
Interessanterweise hat auch schon Frege in bezug auf die materiale Implikation von der Unterordnung der Begriffe gesprochen (s. /Frege 1893/, S. 20). Er hat allerdings letztlich Sätze als Begriffe bezeichnet (s. /Frege 1893/, S. 7 ff). Begriffe sollten nach Frege einen Wahrheitswert denotieren (was meiner Meinung nach in bezug auf meine Intention keine hilfreiche Auffassung ist). Eine einheitliche Behandlung von dem, was man für gewöhnlich unter Begriffen versteht, und Sätzen hat Frege jedoch nicht erreicht.
In Teil II: Aufbau einer neuen Begriffsschrift wird der Versuch einer systematischen Entwicklung unternommen. Dabei muß natürlich auch auf eine angemessene Behandlung sowohl der relationalen Satzstruktur als auch singulärer und genereller Termini, wie dies bei der Logik Freges der Fall ist, geachtet werden.
/Bühler 1994/ G. Bühler, Von der relationalen Analyse der semantischen Struktur von Sätzen zu einem Modell der logischen Struktur von Wissen. Private Urkunde, Vorliegen notariell bestätigt am 25. 10. 1994.
/Frege 1893/ G. Frege, Grundgesetze der Arithmetik. Jena 1893. Zitiert nach reprografischem Nachruck, Hildesheim: Georg Olms Verlagsbuchhandlung 1966.
/Mill 1874/ J. St. Mill, A SYSTEM OF LOGIC, RATIOCINATIVE AND INDUCTIVE: BEING A CONNECTED VIEW OF THE PRINCIPLES OF EVIDENCE AND THE METHODS OF SCIENTIFIC INVESTIGATION. 8. Aufl., New York: Harper & Brothers 1874.
/Skorupski 1989/ J. Skorupski, John Stuart Mill. London, New York: Routledge 1989.
/Tugendhat, Wolf 1983/ E. Tugendhat, U. Wolf, Logisch-semantische Propädeutik. Ditzingen: Reclam 1983.